Parents are paying up to 50% more to live in a property close to one of the top 30 performing state schools, research suggests.
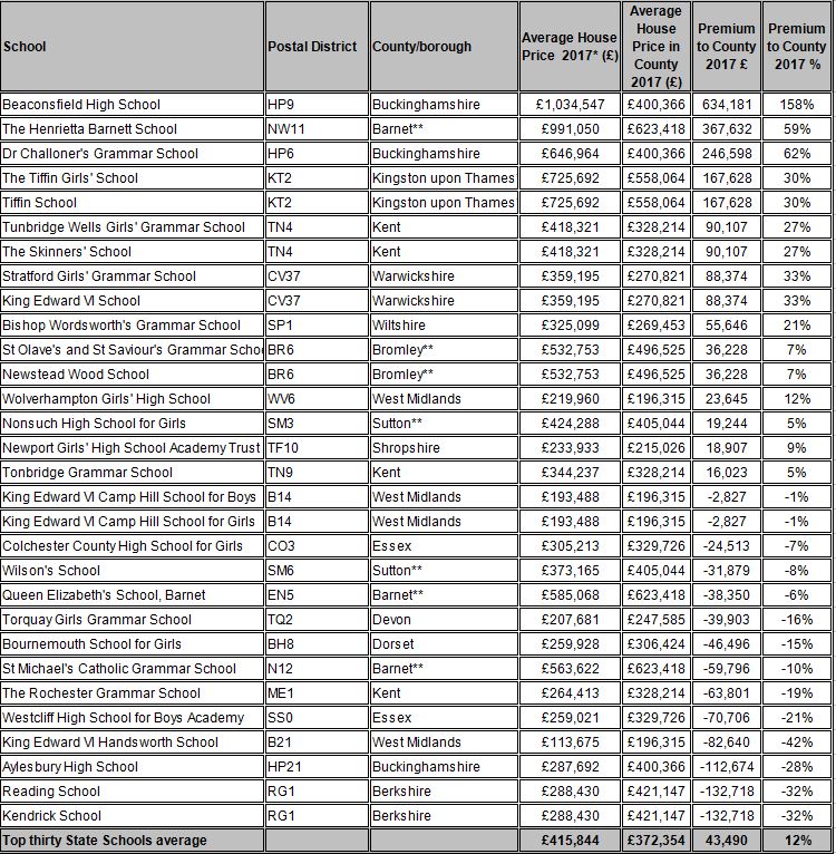
Figures from Lloyds Bank, based on the top performing secondary schools by GCSEs and Land Registry house price data, found that homes in postcodes near the top state schools in England had average prices of £415,844, 45% higher than the £287,229 across the country.
Parents, and of course anybody living in postal districts close to high-achieving schools, also face paying on average 12% more than other locations, with the average in the counties housing the best schools coming to £372,354, compared with the £415,844 being paid, according to the research.
Homes near Beaconsfield High School in Buckinghamshire were found to pay the biggest premium of £643,181, with nearby properties costing £1.03m, or 158% more than the average price in the county, followed by homes close to the Henrietta Barnett School in Barnet paying 59% more at £991,050.
However, the report claims 14 of the 30 areas with top state schools still offer prices below the average for the county.
For example, with an average price of £288,430, properties close to the Reading School and Kendrick School, both in Reading, are £132,718 below the county average, which is the biggest discount for a house near a top performing state school within the survey.
These are followed by Aylesbury High School in Buckinghamshire with a discount of £112,674 and King Edward VI Handsworth School in Birmingham which offers nearby properties that are £82,640 cheaper on average
Andrew Mason, Lloyds Bank mortgage products director, said: “All parents want to ensure their children get a good education, so it’s not surprising that homes in areas close to the top performing schools typically command a significant premium over the surrounding area, and high demand has led to prices being out of reach for many buyers.
“If being near a top performing school is a priority, however, you don’t necessarily need to pay extra to do so with almost half of the top 30 schools being in locations that cost less than the average of that area.”
How does your postcode fare?


More statistics which are too simple to be relied upon.
You must be logged in to like or dislike this comments.
Click to login
Don't have an account? Click here to register